【🎁有獎話題】點樣分析期權市場?基本面、技術面與波動率你會分析咩?
小虎們,期權市場是金融市場中的重要組成部分,它為投資者提供了豐富的投資工具和策略![Cool]
在期權市場中,投資人可以透過買入或賣出期權合約來獲取收益![666]
叻叻虎今天教小虎們如何從基本面、技術面和波動率三個面向對期權市場進行分析![YoYo]
一、基本面分析
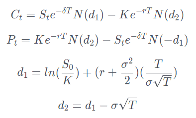
基本面分析是研究影響價格的各種因素,包括標的資產的價格、行使價格、到期時間、無風險利率等。透過這些因素的研究,投資人可以判斷期權價格的合理性,從而製定相應的投資策略。
標的資產價格
標的資產價格是影響期權價格最直接的因素。在其他條件不變的情況下,標的資產價格上漲,買權的價格也會上漲;標的資產價格下跌,賣權的價格也會上漲。因此,投資者在進行期權投資時,需要密切注意標的資產的價格走勢。
行使價格
行使價格是指期權合約規定的買入或賣出標的資產的價格。行使價格與標的資產價格之間的關係會影響期權的價格。一般來說,行使價格離標的資產價格越遠,期權的價格越低;行使價格離標的資產價格越近,期權的價格越高。
到期時間
到期時間是指期權合約的有效期限。到期時間越長,期權的價格越高;到期時間越短,期權的價格越低。這是因為隨著到期時間的臨近,期權的時間價值會逐漸減少,而內在價值則有可能增加。
無風險利率
無風險利率是指投資者在沒有風險的情況下可以獲得的收益率。無風險利率與期權價格之間存在一定的關係。一般來說,無風險利率越高,期權的價格越高;無風險利率越低,期權的價格越低。這是因為無風險利率的提高會增加持有期權的成本,從而推高期權的價格。
02.技術面分析
技術面分析是透過對期權市場的歷史資料進行統計和分析,以預測未來價格走勢的一種方法。技術面分析主要包括趨勢分析、形態分析及指標分析等。
趨勢分析
趨勢分析是透過對期權市場的歷史資料進行統計分析,以判斷市場的未來趨勢。在期權市場中,投資人可以透過觀察標的資產價格、成交量等數據來判斷市場的趨勢。一般來說,當標的資產價格上漲時,買權的價格也會上漲;當標的資產價格下跌時,賣權的價格也會上漲。
形態分析
形態分析是透過對期權市場的歷史資料進行圖形分析,以判斷市場的未來趨勢。在期權市場中,投資人可以透過觀察K線圖、均線圖等圖形來判斷市場的形態。一般來說,當市場出現看漲形態時,投資者可以考慮買入看漲期權;當市場出現看跌形態時,投資者可以考慮買入看跌期權。
指標分析
指標分析是透過對期權市場的歷史資料進行數學計算,以判斷市場的未來趨勢。在期權市場中,投資人可以透過觀察各種技術指標(如MACD、RSI等)來判斷市場的走勢。一般來說,當技術指標顯示市場處於多頭狀態時,投資者可以考慮買入看漲期權;當技術指標顯示市場處於空頭狀態時,投資者可以考慮買入看跌期權。
03.波動率分析
波動率是指指標的資產價格在一定時間內的變動幅度。波動率是影響期權權格的重要因素之一。一般來說,波動率越高,期權的價格越高;波動率越低,期權的價格越低。因此,投資者在進行期權投資時,需要關注波動率的變化。
歷史波動率
歷史波動率是指過去一段時間標的資產價格的波動幅度。投資者可以透過計算歷史波動率來判斷未來波動率的可能範圍。一般來說,當歷史波動率較高時,未來波動率可能會降低;當歷史波動率較低時,未來波動率可能會升高。
隱含波動率
隱含波動率是指市場上已經形成的期權合約的波動率。隱含波動率是透過期權定價模型計算得出的。投資人可以透過比較不同行權價格的隱含波動率來判斷市場對未來波動率的預期。一般來說,當隱含波動率較高時,表示市場預期未來波動率較高;當隱含波動率較低時,表示市場預期未來波動率較低。
小虎們,你們會從基本面,技術面,波動率分析分析期權市場嗎?你們一般怎麼分析期權呢?
💡分享你的看法贏取獎品
你會從基本面,技術面,波動率分析分析期權市場嗎?你們一般怎麼分析期權呢?[Cool]
🎁評論可得獎勵如下噢~
🐯對以下帖子的所有有效評論都將收到5個老虎硬幣。
🐯前10名和後10名有合格評論的小虎將獲得另一個10個老虎硬幣。
🐯前5名最受歡迎和高質量的評論將獲得另一個15虎硬幣。
Disclaimer: Investing carries risk. This is not financial advice. The above content should not be regarded as an offer, recommendation, or solicitation on acquiring or disposing of any financial products, any associated discussions, comments, or posts by author or other users should not be considered as such either. It is solely for general information purpose only, which does not consider your own investment objectives, financial situations or needs. TTM assumes no responsibility or warranty for the accuracy and completeness of the information, investors should do their own research and may seek professional advice before investing.

@icycrystal @melson @DiAngel @MHh @LMSunshine @koolgal
標的資產價格
標的資產價格是影響期權價格最直接的因素。在其他條件不變的情況下,標的資產價格上漲,買權的價格也會上漲;標的資產價格下跌,賣權的價格也會上漲。因此,投資者在進行期權投資時,需要密切注意標的資產的價格走勢。
到期時間是指期權合約的有效期限。到期時間越長,期權的價格越高;到期時間越短,期權的價格越低。這是因為隨著到期時間的臨近,期權的時間價值會逐漸減少,而內在價值則有可能增加。
無風險利率
無風險利率是指投資者在沒有風險的情況下可以獲得的收益率。無風險利率與期權價格之間存在一定的關係。一般來說,無風險利率越高,期權的價格越高;無風險利率越低,期權的價格越低。這是因為無風險利率的提高會增加持有期權的成本,從而推高期權的價格。
These include Balance Sheet, Income Statement and Cash Flow statements.
I like to invest in companies that have good fundamentals of profitability, rock solid balance sheet and excellent management team.
Technical Analysis also requires in depth knowledge to analyse the direction of financial markets. It involves identifying entry and exit points for trades, momentum and implied volatility.
So it is very much something that I need to learn but with determination and help, I believe I can succeed.
By using the wave theory, I can find the best entry and exit points for my trades based on Convergence and Divergence of waves.
Fundamental analysis is to study the factors that affect the quality of the target, including the quality of the target, the quality of the target, the maturity time, the interest rate, and so on. Through the study of these factors, the investor can judge the rationality of the investment in the future and decide the corresponding investment strategy.
receive 5 tigers for all valid theories of the following posts.
🐯 's top 10 and bottom 10 qualified tigers will get another 10 tigers.
🐯 's top 5 most popular and high-quality theories will earn another 15 tigers.